Упр.3.109 ГДЗ Дорофеев Суворова 8 класс (Алгебра)
Решение #1

Рассмотрим вариант решения задания из учебника Дорофеев, Суворова, Бунимович 8 класс, Просвещение:
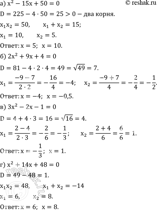
Найдите корни квадратного трехчлена:
а) x^2-15x+50;
б) 2x^2+9x+4;
в) 3x^2-2x-1;
г) x^2+14x+48.
Популярные решебники 8 класс Все решебники
*размещая тексты в комментариях ниже, вы автоматически соглашаетесь с пользовательским соглашением