Упр.3.107 ГДЗ Дорофеев Суворова 8 класс (Алгебра)
Решение #1

Рассмотрим вариант решения задания из учебника Дорофеев, Суворова, Бунимович 8 класс, Просвещение:
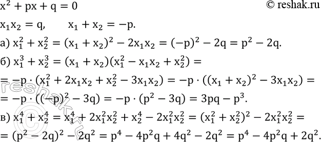
Уравнение x^2+px+q=0 имеет корни x_1 и x_2. Выразите через коэффициенты p и q:
а) x_1^2+x_2^2; б) x_1^3+x_2^3; в) x_1^4+x_2^4.
Популярные решебники 8 класс Все решебники
*размещая тексты в комментариях ниже, вы автоматически соглашаетесь с пользовательским соглашением