Упр.3.10 ГДЗ Дорофеев Суворова 8 класс (Алгебра)
Решение #1

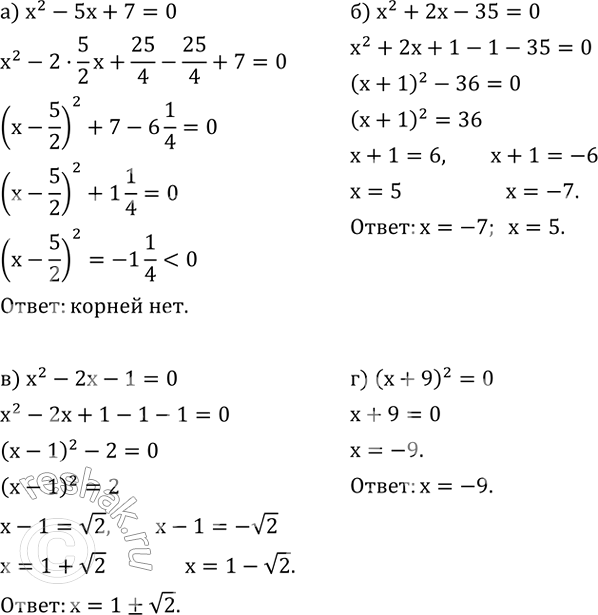
Рассмотрим вариант решения задания из учебника Дорофеев, Суворова, Бунимович 8 класс, Просвещение:
Составьте какое-нибудь квадратное уравнение, которое:
а) не имеет корней;
б) имеет два целых корня;
в) имеет два иррациональных корня;
г) имеет один корень.
Популярные решебники 8 класс Все решебники
*размещая тексты в комментариях ниже, вы автоматически соглашаетесь с пользовательским соглашением