Упр.253 ГДЗ Атанасян 10-11 класс по геометрии (Геометрия)
Решение #1
Решение #2

Рассмотрим вариант решения задания из учебника Атанасян, Бутузов, Кадомцев 11 класс, Просвещение:
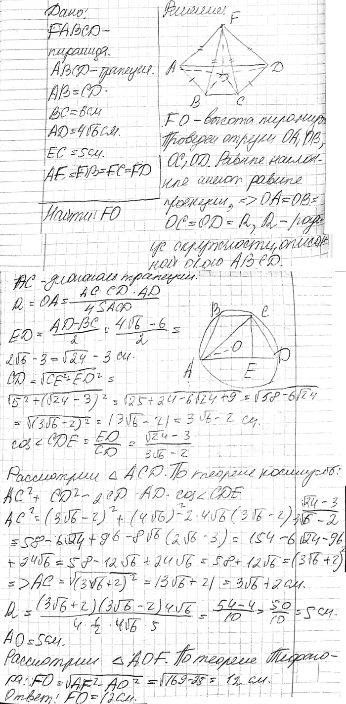
Основанием пирамиды является равнобедренная трапеция с основаниями 6 см и 4 Тб см и высотой 5 см. Каждое боковое ребро пирамиды равно 13 см. Найдите ее высоту.
Популярные решебники 11 класс Все решебники
*размещая тексты в комментариях ниже, вы автоматически соглашаетесь с пользовательским соглашением