Упр.2.99 ГДЗ Дорофеев Суворова 8 класс (Алгебра)
Решение #1

Рассмотрим вариант решения задания из учебника Дорофеев, Суворова, Бунимович 8 класс, Просвещение:
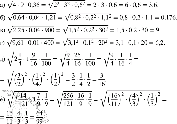
Вычислите:
а) v(4•9•0,36);
б) v(0,64•0,04•1,21);
в) v(2,25•0,04•900);
г) v(9,61•0,01•400);
д) v(2 1/4•1 9/16•1/100);
е) v(2 14/121•1 7/9•1/9).
Популярные решебники 8 класс Все решебники
*размещая тексты в комментариях ниже, вы автоматически соглашаетесь с пользовательским соглашением