Упр.2.94 ГДЗ Дорофеев Суворова 8 класс (Алгебра)
Решение #1

Рассмотрим вариант решения задания из учебника Дорофеев, Суворова, Бунимович 8 класс, Просвещение:
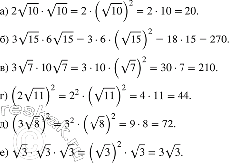
Упростите:
а) 2v10•v10;
б) 3v15•6v15;
в) 3v7•10v7;
г) (2v11)^2;
д) (3v8)^2;
е) v3•v3•v3.
Популярные решебники 8 класс Все решебники
*размещая тексты в комментариях ниже, вы автоматически соглашаетесь с пользовательским соглашением