Упр.2.83 ГДЗ Дорофеев Суворова 8 класс (Алгебра)
Решение #1

Рассмотрим вариант решения задания из учебника Дорофеев, Суворова, Бунимович 8 класс, Просвещение:
Упростите:
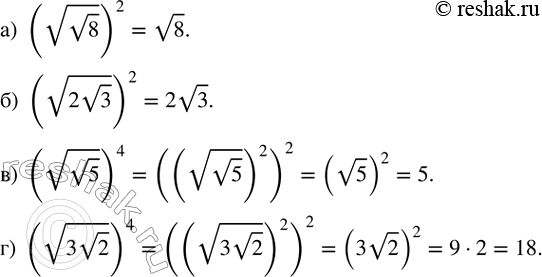
а) (v(v8) )^2;
б) (v(2v3) )^2;
в) (v(v5) )^4;
г) (v(3v2) )^4.
Популярные решебники 8 класс Все решебники
*К сожалению, временные проблемы с публикацией комментариев с мобильных устройств.