Упр.2.77 ГДЗ Дорофеев Суворова 8 класс (Алгебра)
Решение #1

Рассмотрим вариант решения задания из учебника Дорофеев, Суворова, Бунимович 8 класс, Просвещение:
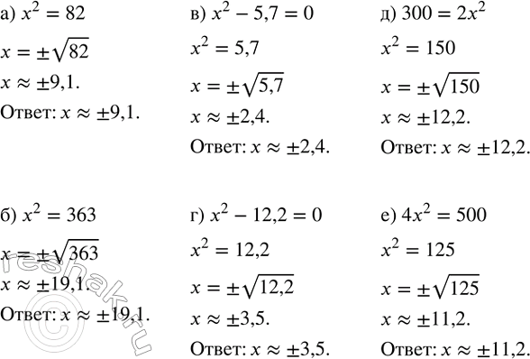
Найдите приближенно с одним знаком после запятой корни уравнения:
а) x^2=82;
б) x^2=363;
в) x^2-5,7=0;
г) x^2-12,2=0;
д) 300=2x^2;
е) 4x^2=500.
Популярные решебники 8 класс Все решебники
*К сожалению, временные проблемы с публикацией комментариев с мобильных устройств.