Упр.2.73 ГДЗ Дорофеев Суворова 8 класс (Алгебра)
Решение #1

Рассмотрим вариант решения задания из учебника Дорофеев, Суворова, Бунимович 8 класс, Просвещение:
Найдите x, если:
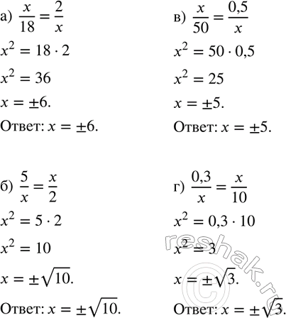
а) x/18=2/x.
б) 5/x=x/2;
в) x/50=0,5/x;
г) 0,3/x=x/10.
Популярные решебники 8 класс Все решебники
*К сожалению, временные проблемы с публикацией комментариев с мобильных устройств.