Упр.2.69 ГДЗ Дорофеев Суворова 8 класс (Алгебра)
Решение #1

Рассмотрим вариант решения задания из учебника Дорофеев, Суворова, Бунимович 8 класс, Просвещение:
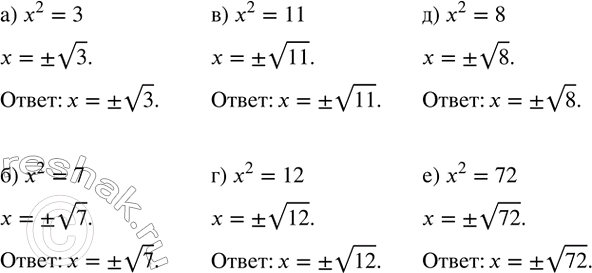
Решите уравнение:
а) x^2=3;
б) x^2=7;
в) x^2=11;
г) x^2=12;
д) x^2=8;
е) x^2=72.
Популярные решебники 8 класс Все решебники
*размещая тексты в комментариях ниже, вы автоматически соглашаетесь с пользовательским соглашением