Упр.2.46 ГДЗ Дорофеев Суворова 8 класс (Алгебра)
Решение #1

Рассмотрим вариант решения задания из учебника Дорофеев, Суворова, Бунимович 8 класс, Просвещение:
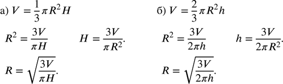
а) Объем V конуса (рис.2.12) вычисляется по формуле V=1/3 ?R^2H. Выразите из этой формулы высоту H и радиус основания R.
б) Обхем V шарового сектора (рис.2.13) вычисляется по формуле V=2/3 ?R^2h. Выразите из этой формулы высоту сегмента h и радиус шара R.
Популярные решебники 8 класс Все решебники
*размещая тексты в комментариях ниже, вы автоматически соглашаетесь с пользовательским соглашением