Упр.2.45 ГДЗ Дорофеев Суворова 8 класс (Алгебра)
Решение #1

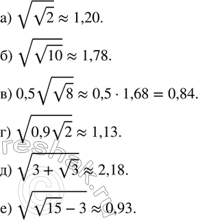
Рассмотрим вариант решения задания из учебника Дорофеев, Суворова, Бунимович 8 класс, Просвещение:
Найдите с помощью калькулятора десятичное приближение числа с двумя знаками после запятой:
а) v(v2) ;
б) v(v10) ;
в) 0,5v(v8) ;
г) v(0,9v2) ;
д) v(3+v3) ;
е) v(v15-3).
Популярные решебники 8 класс Все решебники
*К сожалению, временные проблемы с публикацией комментариев с мобильных устройств.