Упр.2.3 ГДЗ Дорофеев Суворова 8 класс (Алгебра)
Решение #1

Рассмотрим вариант решения задания из учебника Дорофеев, Суворова, Бунимович 8 класс, Просвещение:
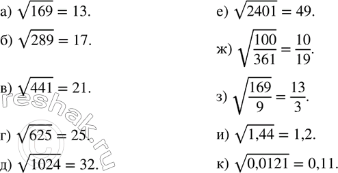
Вычислите, пользуясь таблицей квадратов двузначных чисел:
а) v169;
б) v289;
в) v441;
г) v625;
д) v1024;
е) v2401;
ж) v(100/361);
з) v(169/9);
и) v1,44;
к) v0,0121.
Популярные решебники 8 класс Все решебники
*размещая тексты в комментариях ниже, вы автоматически соглашаетесь с пользовательским соглашением