Упр.2.29 ГДЗ Дорофеев Суворова 8 класс (Алгебра)
Решение #1

Рассмотрим вариант решения задания из учебника Дорофеев, Суворова, Бунимович 8 класс, Просвещение:
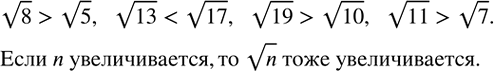
Пользуясь таблицей (см. упражнение 252), сравните: v8 и v5, v13 и v17, v19 и v10, v11 и v7.
Как меняются значения vn с увеличение n?
Популярные решебники 8 класс Все решебники
*К сожалению, временные проблемы с публикацией комментариев с мобильных устройств.