Упр.2.24 ГДЗ Дорофеев Суворова 8 класс (Алгебра)
Решение #1

Рассмотрим вариант решения задания из учебника Дорофеев, Суворова, Бунимович 8 класс, Просвещение:
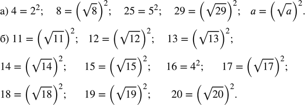
а) Квадратом какого положительноо числа является число:
4; 8; 25; 29; a (a > 0)?
б) Представьте в виде квадрата некоторого числа все натуральные числа от 11 до 20.
Популярные решебники 8 класс Все решебники
*размещая тексты в комментариях ниже, вы автоматически соглашаетесь с пользовательским соглашением