Упр.2.19 ГДЗ Дорофеев Суворова 8 класс (Алгебра)
Решение #1

Рассмотрим вариант решения задания из учебника Дорофеев, Суворова, Бунимович 8 класс, Просвещение:
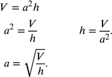
Объем V прямоугольного параллелепипеда, в основании которого квадрат (рис.2.2), вычисляется по формуле V=a^2h. Выразите из этой формулы сторону основания a и высоту параллелепипеда h.
Популярные решебники 8 класс Все решебники
*размещая тексты в комментариях ниже, вы автоматически соглашаетесь с пользовательским соглашением