Упр.2.182 ГДЗ Дорофеев Суворова 8 класс (Алгебра)
Решение #1

Рассмотрим вариант решения задания из учебника Дорофеев, Суворова, Бунимович 8 класс, Просвещение:
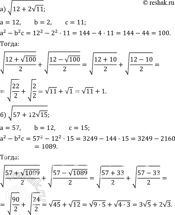
Формула, рассмотренная в предыдущем задании, представляет интерес, если выражение a^2-b^2c является квадратом натурального числа. Примените эту формул для упрощения выражения:
а) v(12+2v11) ;
б) v(57+12v15) .
Популярные решебники 8 класс Все решебники
*К сожалению, временные проблемы с публикацией комментариев с мобильных устройств.