Упр.2.18 ГДЗ Дорофеев Суворова 8 класс (Алгебра)
Решение #1

Рассмотрим вариант решения задания из учебника Дорофеев, Суворова, Бунимович 8 класс, Просвещение:
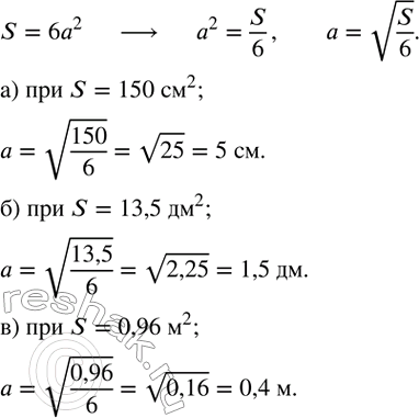
Площадь S поверхности куба с ребром a (рис.2.1) вычисляется по формуле S=6a^2. Выразите из этой формулы ребро куба a. Вычислите ребро куба, если известно, что:
а) S=150 см^2; б) S=13,5 дм^2; в) S=0,96 м^2.
Популярные решебники 8 класс Все решебники
*размещая тексты в комментариях ниже, вы автоматически соглашаетесь с пользовательским соглашением