Упр.2.175 ГДЗ Дорофеев Суворова 8 класс (Алгебра)
Решение #1

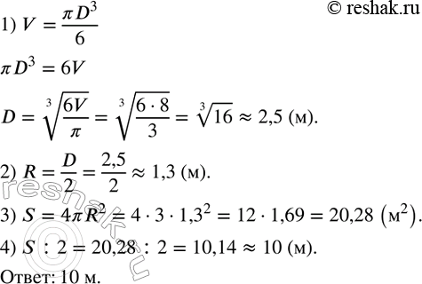
Рассмотрим вариант решения задания из учебника Дорофеев, Суворова, Бунимович 8 класс, Просвещение:
Нужно изготовить воздушный шар объемом 8 м^3. Сколько метров ткани шириной 2 м потребуется для изготовления этого шара? (При расчетах считайте ??3; формула площади поверхности шара S=4?R^2, где R - радиус шара.) Сделайте грубую прикидку, выразив результат в целых метрах.
Популярные решебники 8 класс Все решебники
*размещая тексты в комментариях ниже, вы автоматически соглашаетесь с пользовательским соглашением