Упр.2.173 ГДЗ Дорофеев Суворова 8 класс (Алгебра)
Решение #1

Рассмотрим вариант решения задания из учебника Дорофеев, Суворова, Бунимович 8 класс, Просвещение:
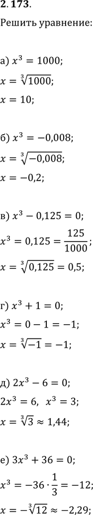
Решите уравнение:
а) x^3=1000; б) x^3=-0,008;
в) x^3-0,125=0; г) x^3+1=0;
д) 2x^3-6=0; е) 3x^3+36=0.
Если корень уравнения — число иррациональное, найдите его десятичное приближение с двумя знаками после запятой.
Популярные решебники 8 класс Все решебники
*размещая тексты в комментариях ниже, вы автоматически соглашаетесь с пользовательским соглашением