Упр.2.171 ГДЗ Дорофеев Суворова 8 класс (Алгебра)
Решение #1

Рассмотрим вариант решения задания из учебника Дорофеев, Суворова, Бунимович 8 класс, Просвещение:
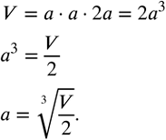
Запишите формулу для вычисления объема прямоугольного параллелепипеда, в основании которого квадрат со стороной a и высота которого квадрат со стороной a и высота которого в два раза больше стороны основания (рис.2.33). Выразите из этой формулы сторону основания a.
Популярные решебники 8 класс Все решебники
*размещая тексты в комментариях ниже, вы автоматически соглашаетесь с пользовательским соглашением