Упр.2.165 ГДЗ Дорофеев Суворова 8 класс (Алгебра)
Решение #1

Рассмотрим вариант решения задания из учебника Дорофеев, Суворова, Бунимович 8 класс, Просвещение:
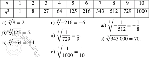
Заполните таблицу кубов натуральных чисел от 1 до 10.
С помощью таблицы найдите значение выражения:
а) ?8;
б) ?125;
в) ?(-64);
г) ?(-216);
д) ?(1/729);
е) ?(1/1000);
ж) ?(-1/512);
з) ?(343 000).
Популярные решебники 8 класс Все решебники
*размещая тексты в комментариях ниже, вы автоматически соглашаетесь с пользовательским соглашением