Упр.2.164 ГДЗ Дорофеев Суворова 8 класс (Алгебра)
Решение #1

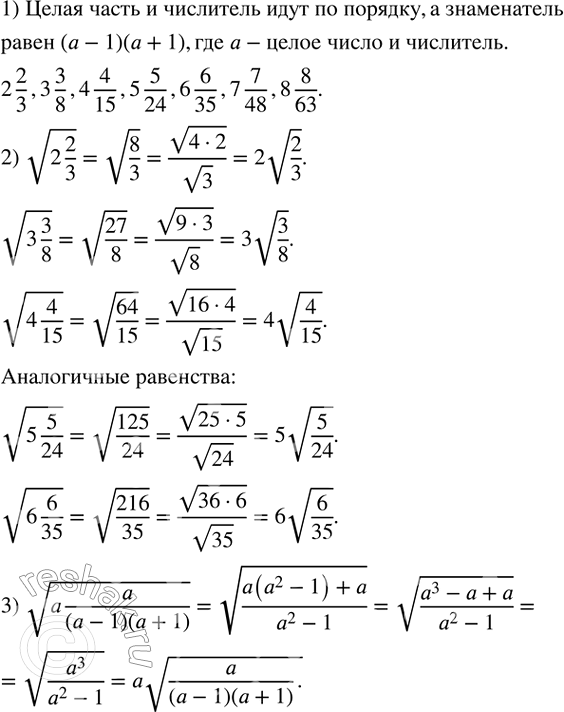
Рассмотрим вариант решения задания из учебника Дорофеев, Суворова, Бунимович 8 класс, Просвещение:
1) Заметьте закономерность и запишите следующие три числа в последовательности:
2 2/3,3 3/8,4 4/15,5 5/24,….
2) Проверьте равенства: v(2 2/3)=2v(2/3), v(3 3/8)=3v(3/8), v(4 4/15)=4v(4/15).
Составьте несколько аналогичных равенств.
3) Запишите соответствующее равенство в буквенном виде и докажите его.
Популярные решебники 8 класс Все решебники
*размещая тексты в комментариях ниже, вы автоматически соглашаетесь с пользовательским соглашением