Упр.2.160 ГДЗ Дорофеев Суворова 8 класс (Алгебра)
Решение #1

Рассмотрим вариант решения задания из учебника Дорофеев, Суворова, Бунимович 8 класс, Просвещение:
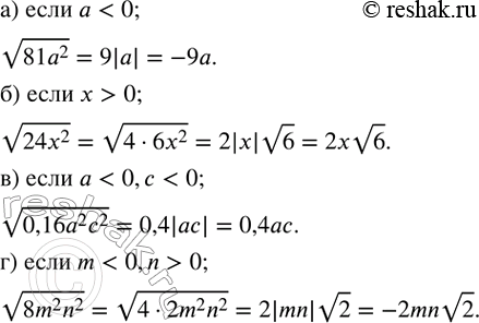
Упростите выражение:
а) v(81a^2 ),если a < 0;
б) v(24x^2 ),если x > 0;
в) v(0,16a^2 c^2 ),если a < 0,c < 0;
г) v(8m^2 n^2 ),если m < 0,n > 0.
Популярные решебники 8 класс Все решебники
*размещая тексты в комментариях ниже, вы автоматически соглашаетесь с пользовательским соглашением