Упр.2.16 ГДЗ Дорофеев Суворова 8 класс (Алгебра)
Решение #1

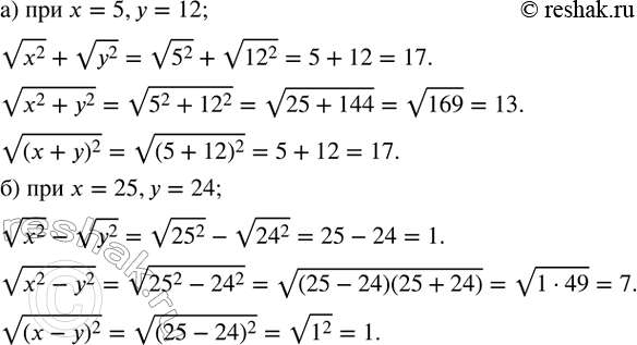
Рассмотрим вариант решения задания из учебника Дорофеев, Суворова, Бунимович 8 класс, Просвещение:
Найдите значения выражений:
а) v(x^2 )+v(y^2 ), v(x^2+y^2 ) и v((x+y)^2 ) при x=5,y=12;
б) v(x^2 )-v(y^2 ), v(x^2-y^2 ) и v((x-y)^2 ) при x=25,y=24.
Популярные решебники 8 класс Все решебники
*размещая тексты в комментариях ниже, вы автоматически соглашаетесь с пользовательским соглашением