Упр.2.159 ГДЗ Дорофеев Суворова 8 класс (Алгебра)
Решение #1

Рассмотрим вариант решения задания из учебника Дорофеев, Суворова, Бунимович 8 класс, Просвещение:
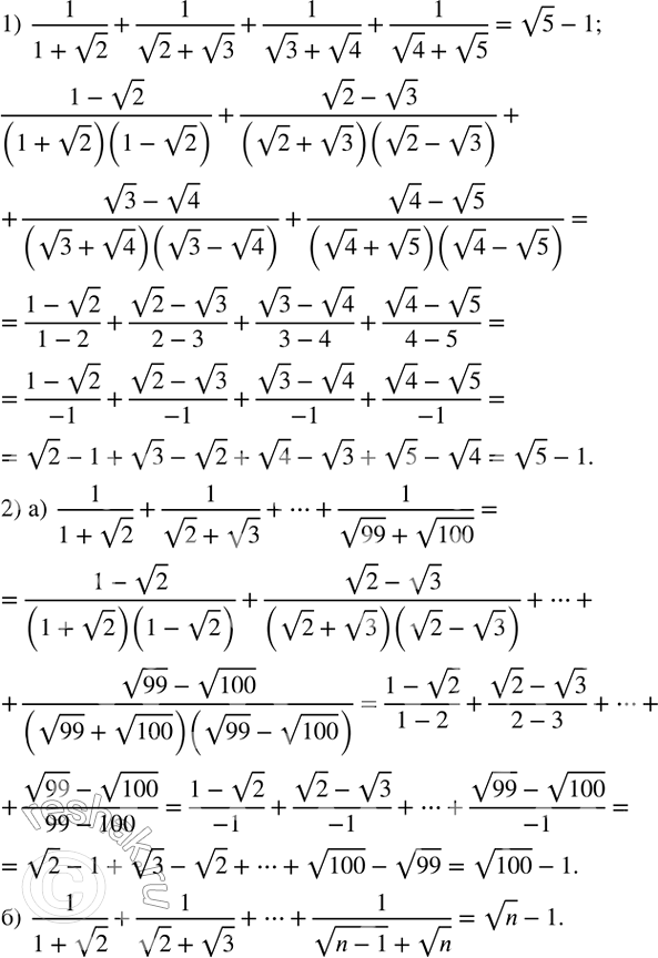
1) Докажите, что верно равенство:
1/(1+v2)+1/(v2+v3)+1/(v3+v4)+1/(v4+v5)=v5-1.
2) Упростите выражение:
а) 1/(1+v2)+1/(v2+v3)+?+1/(v99+v100);
б) 1/(1+v2)+1/(v2+v3)+?+1/(v(n-1)+vn).
Популярные решебники 8 класс Все решебники
*размещая тексты в комментариях ниже, вы автоматически соглашаетесь с пользовательским соглашением