Упр.2.158 ГДЗ Дорофеев Суворова 8 класс (Алгебра)
Решение #1

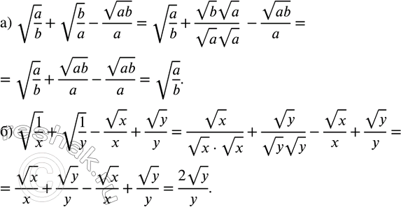
Рассмотрим вариант решения задания из учебника Дорофеев, Суворова, Бунимович 8 класс, Просвещение:
Упростите выражение (буквами обозначены положительные числа):
а) v(a/b)+v(b/a)-vab/a;
б) v(1/x)+v(1/y)-vx/x+vy/y.
Популярные решебники 8 класс Все решебники
*размещая тексты в комментариях ниже, вы автоматически соглашаетесь с пользовательским соглашением