Упр.2.156 ГДЗ Дорофеев Суворова 8 класс (Алгебра)
Решение #1

Рассмотрим вариант решения задания из учебника Дорофеев, Суворова, Бунимович 8 класс, Просвещение:
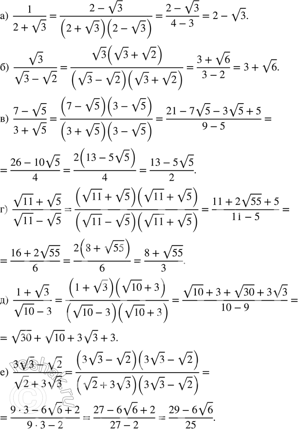
Освободитесь от иррациональности в знаменателе дроби (примените результаты упражнения 379):
а) 1/(2+v3);
б) v3/(v3-v2);
в) (7-v5)/(3+v5);
г) (v11+v5)/(v11-v5);
д) (1+v3)/(v10-3);
е) (3v3-v2)/(v2+3v3).
Популярные решебники 8 класс Все решебники
*размещая тексты в комментариях ниже, вы автоматически соглашаетесь с пользовательским соглашением