Упр.2.155 ГДЗ Дорофеев Суворова 8 класс (Алгебра)
Решение #1

Рассмотрим вариант решения задания из учебника Дорофеев, Суворова, Бунимович 8 класс, Просвещение:
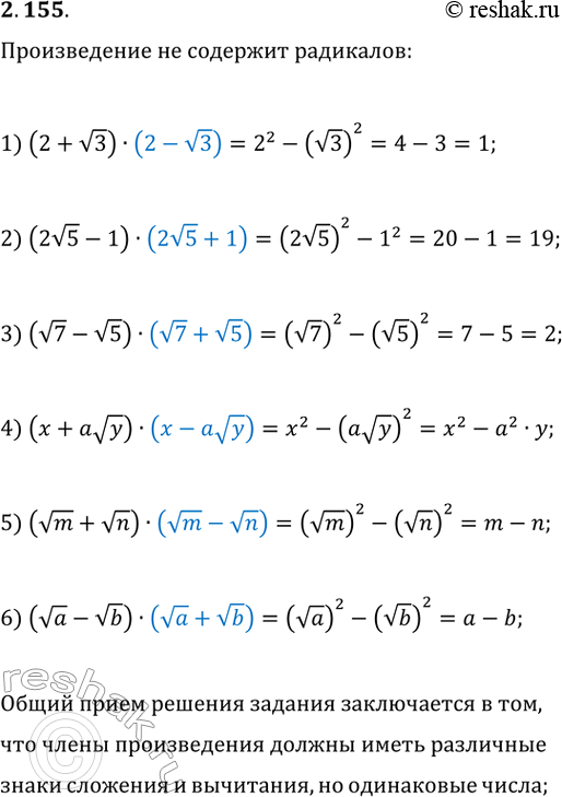
На какое выражение нужно умножить данный двучлен, чтобы получившееся произведение не содержало радикалов? Проверьте себя, выполнив умножение:
1) (2+v3)·...; 3) (v7-v5)·...; 5) vm+vn;
2) (2v5-1)·...; 4) (x+avy)·...; 6) va-vb.
Каков общий прием выполнения этого задания?
Популярные решебники 8 класс Все решебники
*размещая тексты в комментариях ниже, вы автоматически соглашаетесь с пользовательским соглашением