Упр.2.154 ГДЗ Дорофеев Суворова 8 класс (Алгебра)
Решение #1

Рассмотрим вариант решения задания из учебника Дорофеев, Суворова, Бунимович 8 класс, Просвещение:
Найдите значение выражения:
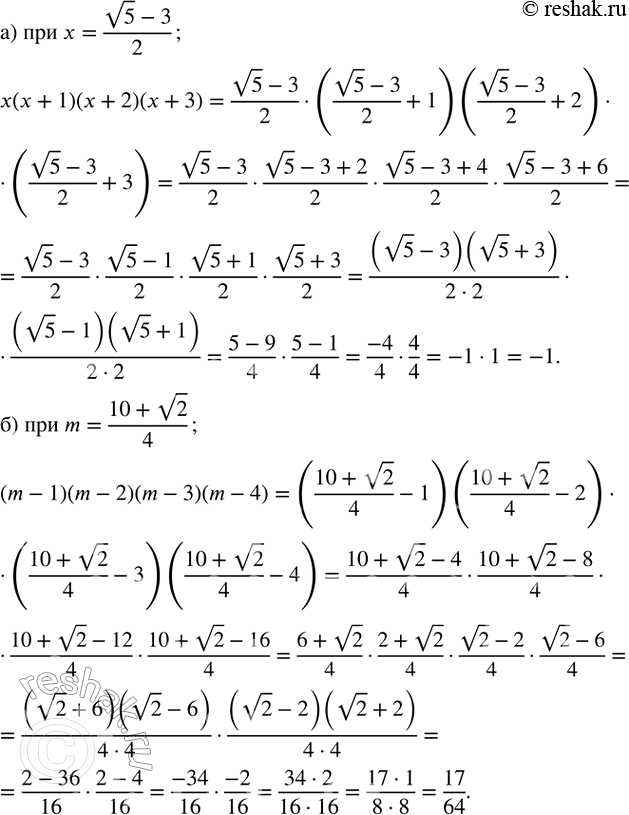
а) x(x+1)(x+2)(x+3) при x=(v5-3)/2;
б) (m-1)(m-2)(m-3)(m-4) при m=(10+v2)/4.
Популярные решебники 8 класс Все решебники
*размещая тексты в комментариях ниже, вы автоматически соглашаетесь с пользовательским соглашением