Упр.2.152 ГДЗ Дорофеев Суворова 8 класс (Алгебра)
Решение #1

Рассмотрим вариант решения задания из учебника Дорофеев, Суворова, Бунимович 8 класс, Просвещение:
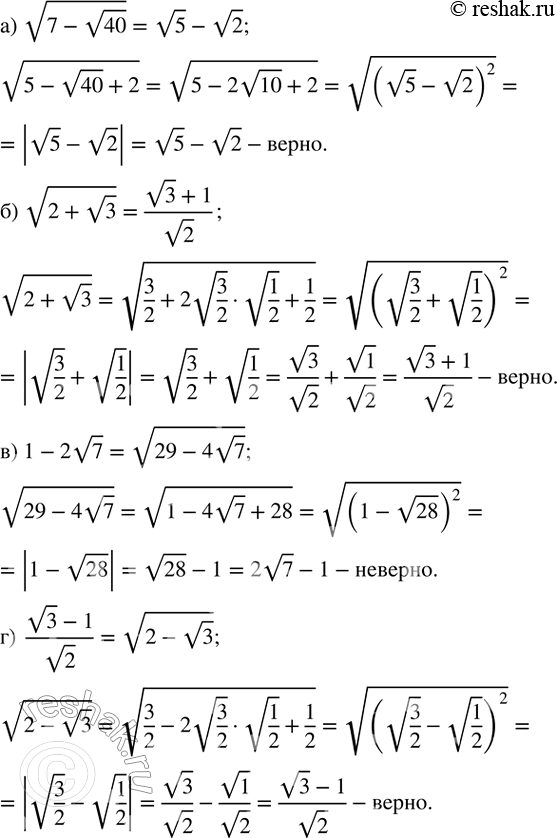
Верно ли равенство:
а) v(7-v40) =v5-v2;
б) v(2+v3) =(v3+1)/v2;
в) 1-2v7=v(29-4v7) ;
г) (v3-1)/v2=v(2-v3) ?
Популярные решебники 8 класс Все решебники
*размещая тексты в комментариях ниже, вы автоматически соглашаетесь с пользовательским соглашением