Упр.2.151 ГДЗ Дорофеев Суворова 8 класс (Алгебра)
Решение #1

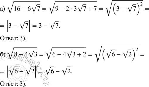
Рассмотрим вариант решения задания из учебника Дорофеев, Суворова, Бунимович 8 класс, Просвещение:
а) Выберите выражение, равное v(16-6v7) .
1) v7-3 2) v7-v3 3) 3-v7
б) Выберите выражение, равное v(8-4v3).
1) v6-2 2) v2-v6 3) v6-v2
Популярные решебники 8 класс Все решебники
*размещая тексты в комментариях ниже, вы автоматически соглашаетесь с пользовательским соглашением