Упр.2.148 ГДЗ Дорофеев Суворова 8 класс (Алгебра)
Решение #1

Рассмотрим вариант решения задания из учебника Дорофеев, Суворова, Бунимович 8 класс, Просвещение:
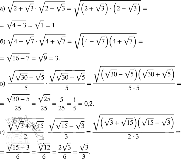
Упростите выражение:
а) v(2+v3) •v(2-v3) ;
б) v(4-v7) •v(4+v7) ;
в) v(v30-v5) /5•v(v30+v5) /5;
г) v(v3+v15) /2•v(v15-v3) /3.
Популярные решебники 8 класс Все решебники
*размещая тексты в комментариях ниже, вы автоматически соглашаетесь с пользовательским соглашением