Упр.2.147 ГДЗ Дорофеев Суворова 8 класс (Алгебра)
Решение #1

Рассмотрим вариант решения задания из учебника Дорофеев, Суворова, Бунимович 8 класс, Просвещение:
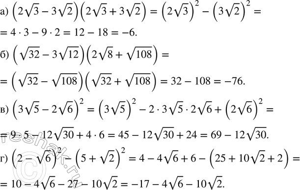
Упростите выражение:
а) (2v3-3v2)(2v3+3v2);
б) (v32-3v12)(2v8+v108);
в) (3v5-2v6)^2;
г) (2-v6)^2-(5+v2)^2.
Популярные решебники 8 класс Все решебники
*размещая тексты в комментариях ниже, вы автоматически соглашаетесь с пользовательским соглашением