Упр.2.144 ГДЗ Дорофеев Суворова 8 класс (Алгебра)
Решение #1

Рассмотрим вариант решения задания из учебника Дорофеев, Суворова, Бунимович 8 класс, Просвещение:
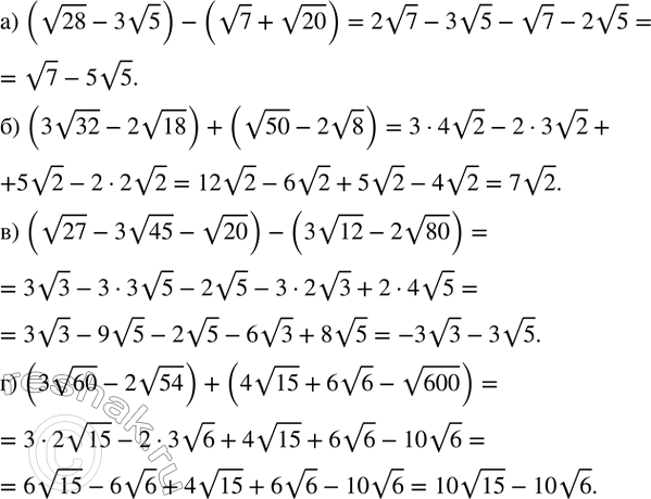
Упростите выражение:
а) (v28-3v5)-(v7+v20);
б) (3v32-2v18)+(v50-2v8);
в) (v27-3v45-v20)-(3v12-2v80);
г) (3v60-2v54)+(4v15+6v6-v600).
Популярные решебники 8 класс Все решебники
*размещая тексты в комментариях ниже, вы автоматически соглашаетесь с пользовательским соглашением