Упр.2.143 ГДЗ Дорофеев Суворова 8 класс (Алгебра)
Решение #1

Рассмотрим вариант решения задания из учебника Дорофеев, Суворова, Бунимович 8 класс, Просвещение:
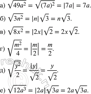
Упростите выражение (буквами обозначены положительные числа):
а) v(49a^2 );
б) v(3n^2 );
в) v(8x^2 );
г) v(m^2/4);
д) v(y^2/2);
е) v(12a^3 ).
Популярные решебники 8 класс Все решебники
*размещая тексты в комментариях ниже, вы автоматически соглашаетесь с пользовательским соглашением