Упр.2.136 ГДЗ Дорофеев Суворова 8 класс (Алгебра)
Решение #1

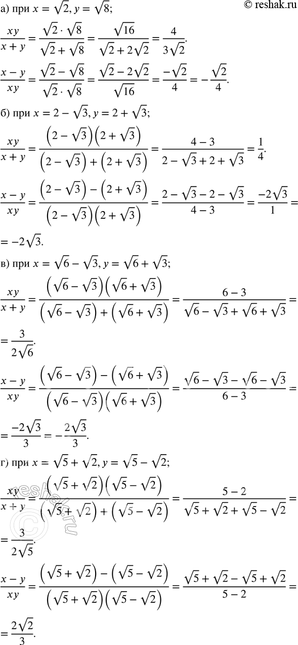
Рассмотрим вариант решения задания из учебника Дорофеев, Суворова, Бунимович 8 класс, Просвещение:
Найдите значения выражений xy/(x+y) и (x-y)/xy при:
а) x=v2,y=v8;
б) x=2-v3,y=2+v3;
в) x=v6-v3,y=v6+v3;
г) x=v5+v2,y=v5-v2.
Популярные решебники 8 класс Все решебники
*размещая тексты в комментариях ниже, вы автоматически соглашаетесь с пользовательским соглашением