Упр.2.132 ГДЗ Дорофеев Суворова 8 класс (Алгебра)
Решение #1

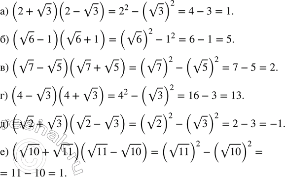
Рассмотрим вариант решения задания из учебника Дорофеев, Суворова, Бунимович 8 класс, Просвещение:
Преобразуйте выражение, используя формулы сокращенного умножения:
а) (2+v3)(2-v3);
б) (v6-1)(v6+1);
в) (v7-v5)(v7+v5);
г) (4-v3)(4+v3);
д) (v2+v3)(v2-v3);
е) (v10+v11)(v11-v10).
Популярные решебники 8 класс Все решебники
*размещая тексты в комментариях ниже, вы автоматически соглашаетесь с пользовательским соглашением