Упр.2.129 ГДЗ Дорофеев Суворова 8 класс (Алгебра)
Решение #1

Рассмотрим вариант решения задания из учебника Дорофеев, Суворова, Бунимович 8 класс, Просвещение:
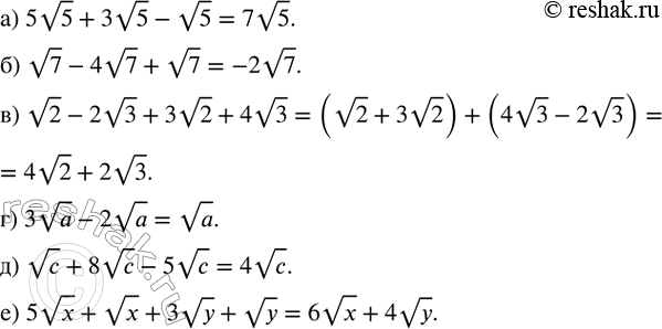
Приведите подобные слагаемые:
а) 5v5+3v5-v5;
б) v7-4v7+v7;
в) v2-2v3+3v2+4v3;
г) 3va-2va;
д) vc+8vc-5vc;
е) 5vx+vx+3vy+vy.
Популярные решебники 8 класс Все решебники
*размещая тексты в комментариях ниже, вы автоматически соглашаетесь с пользовательским соглашением