Упр.2.126 ГДЗ Дорофеев Суворова 8 класс (Алгебра)
Решение #1

Рассмотрим вариант решения задания из учебника Дорофеев, Суворова, Бунимович 8 класс, Просвещение:
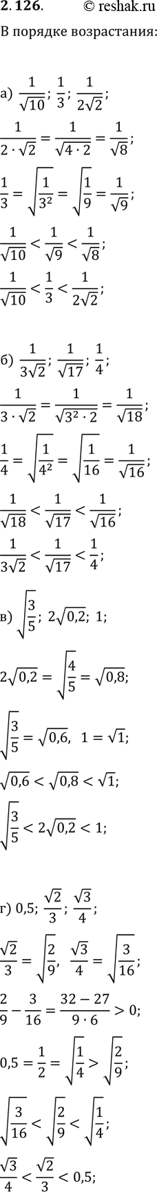
Расположите в порядке возрастания:
а) 1/v10, 1/3, 1/(2v2); в) v(3/5), 2v0,2, 1;
б) 1/(3v2), 1/v17, 1/4; г) 0,5, v2/3, v3/4.
Популярные решебники 8 класс Все решебники
*размещая тексты в комментариях ниже, вы автоматически соглашаетесь с пользовательским соглашением