Упр.2.125 ГДЗ Дорофеев Суворова 8 класс (Алгебра)
Решение #1

Рассмотрим вариант решения задания из учебника Дорофеев, Суворова, Бунимович 8 класс, Просвещение:
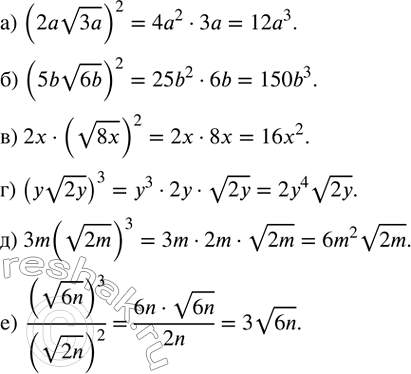
Упростите выражение:
а) (2av3a)^2;
б) (5bv6b)^2;
в) 2x•(v8x)^2;
г) (yv2y)^3;
д) 3m(v2m)^3;
е) (v6n)^3/(v2n)^2 .
Популярные решебники 8 класс Все решебники
*размещая тексты в комментариях ниже, вы автоматически соглашаетесь с пользовательским соглашением