Упр.2.122 ГДЗ Дорофеев Суворова 8 класс (Алгебра)
Решение #1

Рассмотрим вариант решения задания из учебника Дорофеев, Суворова, Бунимович 8 класс, Просвещение:
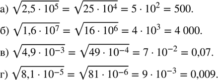
Найдите значение выражения:
а) v(2,5•?10?^5 );
б) v(1,6•?10?^7 );
в) v(4,9•?10?^(-3) );
г) v(8,1•?10?^(-5) ).
Популярные решебники 8 класс Все решебники
*размещая тексты в комментариях ниже, вы автоматически соглашаетесь с пользовательским соглашением