Упр.2.120 ГДЗ Дорофеев Суворова 8 класс (Алгебра)
Решение #1

Рассмотрим вариант решения задания из учебника Дорофеев, Суворова, Бунимович 8 класс, Просвещение:
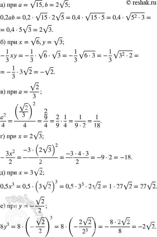
Найдите значения выражения при заданных значениях переменных:
а) 0,2ab при a=v15,b=2v5;
б) -1/3 xy при x=v6,y=v3;
в) a^2/4 при a=v2/3;
г) -(3x^2)/2 при x=2v3;
д) 0,5x^3 при x=3v2;
е) 8y^3 при y=-v2/2.
Популярные решебники 8 класс Все решебники
*размещая тексты в комментариях ниже, вы автоматически соглашаетесь с пользовательским соглашением