Упр.2.115 ГДЗ Дорофеев Суворова 8 класс (Алгебра)
Решение #1

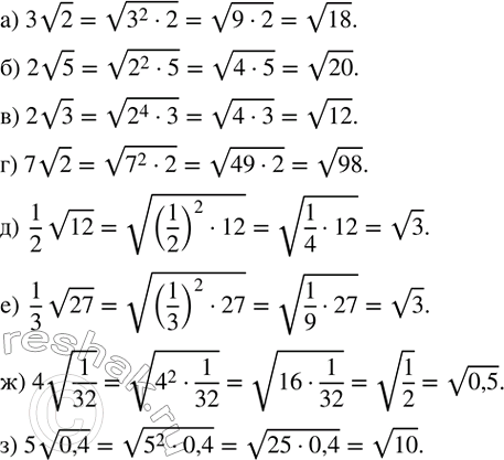
Рассмотрим вариант решения задания из учебника Дорофеев, Суворова, Бунимович 8 класс, Просвещение:
Внесите множитель под знак корня:
а) 3v2;
б) 2v5;
в) 2v3;
г) 7v2;
д) 1/2 v12;
е) 1/3 v27;
ж) 4v(1/32);
з) 5v0,4.
Популярные решебники 8 класс Все решебники
*размещая тексты в комментариях ниже, вы автоматически соглашаетесь с пользовательским соглашением