Упр.1.99 ГДЗ Дорофеев Суворова 8 класс (Алгебра)
Решение #1

Рассмотрим вариант решения задания из учебника Дорофеев, Суворова, Бунимович 8 класс, Просвещение:
Упростите выражение:
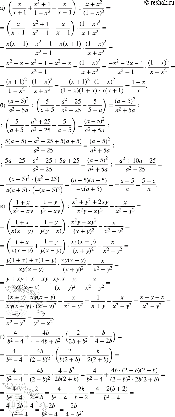
а) (x/(x+1)+(x^2+1)/(1-x^2 )-x/(x-1)) :(x+x^2)/(1-x)^2 ;
б) (a-5)^2/(a^2+5a) :(5/(a+5)-(a^2+25)/(a^2-25)-5/(5-a));
в) ((1+x)/(x^2-xy)-(1-y)/(y^2-xy)) :(x^2+y^2+2xy)/(x^2 y-xy^2 )-x/(x^2-y^2 );
г) 4/(b^2-4)+4b/(4-4b+b^2 )•(2/(2b+b^2 )-b/(4+2b)).
Популярные решебники 8 класс Все решебники
*размещая тексты в комментариях ниже, вы автоматически соглашаетесь с пользовательским соглашением