Упр.1.98 ГДЗ Дорофеев Суворова 8 класс (Алгебра)
Решение #1

Рассмотрим вариант решения задания из учебника Дорофеев, Суворова, Бунимович 8 класс, Просвещение:
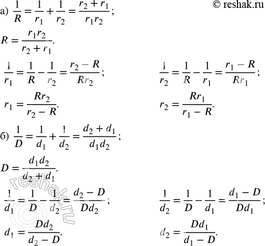
Выразите из формулы каждую переменную через остальные переменные:
а) 1/R=1/r_1 +1/r_2 ;
б) 1/D=1/d_1 +1/d_2 .
Популярные решебники 8 класс Все решебники
*размещая тексты в комментариях ниже, вы автоматически соглашаетесь с пользовательским соглашением