Упр.1.96 ГДЗ Дорофеев Суворова 8 класс (Алгебра)
Решение #1

Рассмотрим вариант решения задания из учебника Дорофеев, Суворова, Бунимович 8 класс, Просвещение:
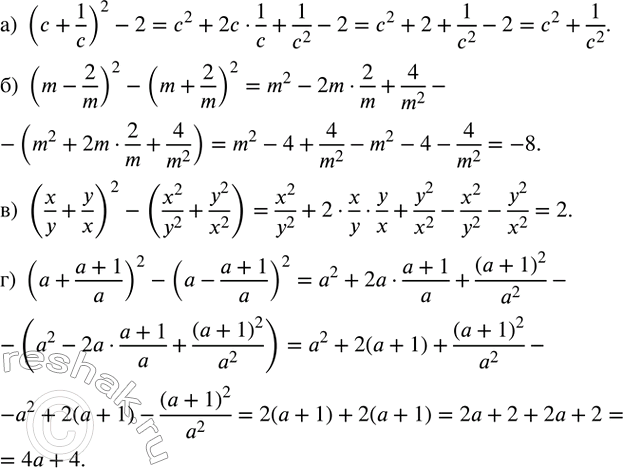
Упростите выражение:
а) (c+1/c)^2-2;
б) (m-2/m)^2-(m+2/m)^2;
в) (x/y+y/x)^2-(x^2/y^2 +y^2/x^2 );
г) (a+(a+1)/a)^2-(a-(a+1)/a)^2.
Популярные решебники 8 класс Все решебники
*размещая тексты в комментариях ниже, вы автоматически соглашаетесь с пользовательским соглашением