Упр.1.94 ГДЗ Дорофеев Суворова 8 класс (Алгебра)
Решение #1

Рассмотрим вариант решения задания из учебника Дорофеев, Суворова, Бунимович 8 класс, Просвещение:
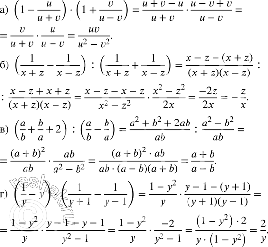
Упростите выражение:
а) (1-u/(u+v))•(1+v/(u-v));
б) (1/(x+z)-1/(x-z)) :(1/(x+z)+1/(x-z));
в) (a/b+b/a+2) :(a/b-b/a);
г) (1/y-y)•(1/(y+1)-1/(y-1)).
Популярные решебники 8 класс Все решебники
*К сожалению, временные проблемы с публикацией комментариев с мобильных устройств.