Упр.1.91 ГДЗ Дорофеев Суворова 8 класс (Алгебра)
Решение #1

Рассмотрим вариант решения задания из учебника Дорофеев, Суворова, Бунимович 8 класс, Просвещение:
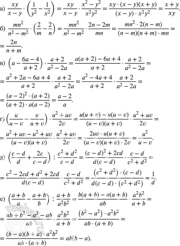
Упростите выражение:
а) xy/(x-y)•(1/y^2 -1/x^2 );
б) (mn^2)/(n^2-m^2 )•(2/m-2/n);
в) (a-(6a-4)/(a+2))•(a+2)/(a^2-2a);
г) (u/(u-v)-u/(u+v))•(u^2+uv)/2v;
д) ((c-d)/d+2c/(c-d)) :(c^2+d^2)/(c-d);
е) ((a+b)/a-(a+b)/b) :(a+b)/(a^2 b^2 ).
Популярные решебники 8 класс Все решебники
*размещая тексты в комментариях ниже, вы автоматически соглашаетесь с пользовательским соглашением