Упр.1.89 ГДЗ Дорофеев Суворова 8 класс (Алгебра)
Решение #1

Рассмотрим вариант решения задания из учебника Дорофеев, Суворова, Бунимович 8 класс, Просвещение:
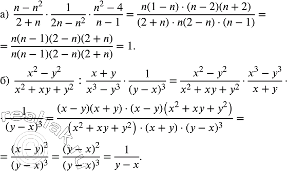
Выполните действия:
а) (n-n^2)/(2+n)•1/(2n-n^2 )•(n^2-4)/(n-1);
б) (x^2-y^2)/(x^2+xy+y^2 ) :(x+y)/(x^3-y^3 )•1/(y-x)^3 .
Популярные решебники 8 класс Все решебники
*размещая тексты в комментариях ниже, вы автоматически соглашаетесь с пользовательским соглашением